優翼仿真飛行訓練設備獲新加坡與澳大利亞局方雙認證
2025-10-28 02:25
廣東優翼航空技術有限公司(簡稱"優翼仿真")近日宣布,其交付至新加坡飛行學院(Singapore Flying College,SFC)澳大利亞塔姆沃思訓練基地的C172S飛行訓練器(FTD)已成功獲得新加坡民航局(CAAS)和澳大利亞民航局(CASA)的雙重認證。這是中國飛行訓練設備制造企業首次同時獲得兩個國家民航當局的認證,具有重要的開創性意義,為中國航空制造企業開拓國際市場打開了新局面。

△新加坡民用航空局認證證書

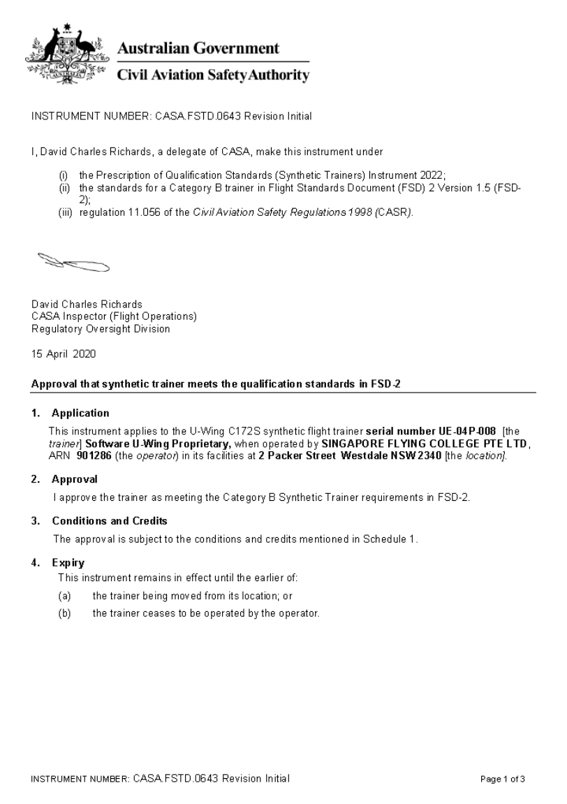
△澳大利亞民用航空安全局認證證書
認證里程碑:
· 新加坡民航局(CAAS)認證 - 新加坡民航局(CAAS)授予II級飛行模擬訓練設備資質認證。
· 澳大利亞民航局(CASA)認證 - 確認設備獲澳大利亞民航局(CASA)批準,符合其FSD-2標準下的B類模擬訓練器資質要求。
新加坡飛行學院作為亞太地區領先的飛行培訓院校,對飛行訓練設備的品質和技術要求極為嚴格,其標準被公認為行業黃金標準。學院成立于1988年,是新加坡航空公司的全資子公司,致力于培養世界級飛行員,已為全球航空業輸送了超過3000名優秀飛行員。
此次雙認證的獲得,不僅證明了優翼仿真設備的技術先進性和可靠性,更體現了國際頂尖航校對"中國制造"飛行訓練設備的認可。新加坡飛行學院選擇優翼仿真的設備并成功通過兩國局方認證,為中國航空制造企業在國際市場上贏得了重要聲譽。
優翼仿真副總經理白楊表示:"這次雙認證的獲得是我們團隊多年技術積累和專業能力的體現。我們非常感謝新加坡飛行學院給予的信任和支持,他們的嚴格標準促使我們不斷提升產品品質。這一成就不僅屬于優翼仿真,也屬于整個中國航空制造行業。"
聯系人
分享
推薦新聞
